设为首页
加入收藏
站内搜索:
首页
校系简介
学校简介
公路与铁道工程系
信息工程系
汽车工程系
机电工程系
物流管理系
管理工程系
建筑工程系
低空技术与工程系
轨道工程系
招生章程及计划
单独招生
单独招生(普高)
单独招生(中职)
单独招生(扩招)
高考招生
招生计划
录取分数
军士生
招生计划
录取分数
中外合作办学
招生计划
录取分数
专升本
考生问答
当前位置:
首页
专升本
正文
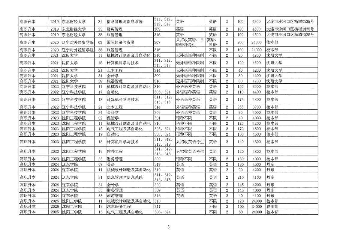
辽招考委字〔2020〕12号--关于印发辽宁省2020年职业教育对口升学考试招生工作实施办法的通知
2020年06月14日 17:06 点击:[]
上一条:
辽宁省职业教育对口升学招生考试分数复核申请表
下一条:
关于印发沈阳市2020年职业教育对口升学招生考试补报名工作实施方案的通知
关闭本页
KY.COM-开元(中国)
|
kaiyun-开云(中国)官方网站_KAIYUN GAME
|
星空·官方站网页版在线登入-星空(中国)
|
星空网页版·官方端在线-星空(中国)
|
博业体育(China)官方网站
|
欧亿体育中国有限公司官网
|
乐鱼网页版-乐鱼leyu(中国)
|
乐鱼网页版-乐鱼(中国)
|
博业体育(中国)官方网站-登录入口
|